This website requires JavaScript.
Explore
Help
Register
Sign In
qq27800734
/
taoyao
Watch
1
Star
0
Fork
0
You've already forked taoyao
Code
Issues
Pull Requests
Actions
Packages
Projects
Releases
Wiki
Activity
Files
2f0cc6bcf6e16c7887eb98f9bd1acf509ebc54b6
taoyao
/
docs
/
桃夭.jpg
acgist
46130cc15b
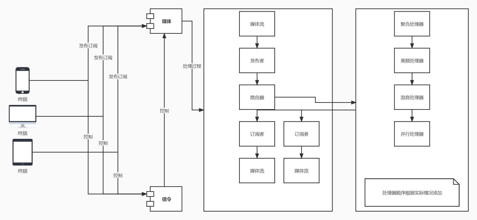
[+] UML
2022-11-23 08:43:57 +08:00
111 KiB
2029x939px
Raw
History